SOAL
2.10 Clamper
6.6 Enhancement-Type MOSFET
1).
Yang merupakan Enhancement MOSFET Chanal N adalah?
a. gambar a
b. gambar b
c. gambar c
d. gambar d
2).

Yang merupakan Enhancement MOSFET Chanal P adalah?
a. gambar a
b. gambar b
c. gambar c
d. gambar d
3). contoh Mosfet yang mempunyai konstruksi khusus adalah?
a. Mosfet Dual Gate ( Mosfet Dua gerbang )
b. Mosfet Trial Gate ( Mosfet tiga gerbang )
c. Mosfet satu gerbang
9.6 JFET Source-Follower (Common-Drain) Coniguration
11.9 High-Frequeny Response - BJT Amplifier
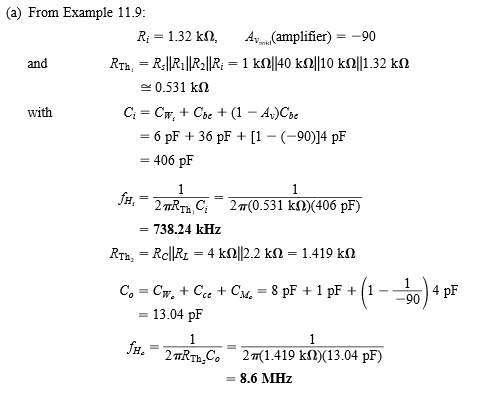
1. Untuk jaringan Fig. 11,44 dengan parameter yang sama seperti pada contoh 11,9, yaitu RS 1 k, R1 = 40 k, R2 10 k, RE 2 k, RC 4 k, RL 2,2 k CS 10 F, CC 1 F, CE 20 F 100, RO, VCC 20 V dengan penambahan CBE 36 pF, CBC 4 pF, CCE 1 pF, CWi 6 pF, CWo 8 pF . Tentukan fHi dan fHo?
A. 4 MHz
B. 6 MHz
C. 8,6 MHz
D. 7,4 MHz
Solution
Jawaban: C
2. Untuk jaringan Fig. 11,44 dengan parameter yang sama seperti pada contoh 11,9, yaitu RS 1k, R1=40k, R2=10k, RE = 2k, RC=4k, RL=2,2 k, CS=10F, CC=1F, CE=20F 100, RO, VCC 20V dengan penambahan CBE 36 pF, CBC 4 pF, CCE 1 pF, CWi 6 pF, CWo 8 pF Tentukan f dan fT ?
A. 252 MHz
B. 100 MHz
C. 189 MHz
D. 980 MHz
Solution
Jawaban: A
3. Untuk jaringan Fig. 11,44 dengan parameter yang sama seperti pada contoh 11,9, yaitu RS 1 k R1 40 k, R2 10 k, RE 2 k, RC 4 k, RL 2,2 k CS 10 F, CC 1 F, CE 20 F 100, RO, VCC 20 V dengan penambahan CBE 36 pF, CBC 4 pF, CCE 1 pF, CWi 6 pF, CWo 8 pF buatlah sketsa respons frekuensi untuk wilayah frekuensi rendah dan tinggi dengan menggunakan hasil contoh 11,9 dan hasil bagian (a) dan (b)
Solution
Lihat Gambar. 11,49. Baik f dan fHo akan menurunkan frekuensi cutoff atas di bawah tingkat yang ditentukan oleh fHi. f lebih dekat dengan fHi dan karena itu akan memiliki dampak yang lebih besar daripada fHo. Dalam setiap peristiwa, bandwidth akan kurang dari yang didefinisikan semata-mata oleh fHi. Bahkan, untuk parameter jaringan ini frekuensi cutoff atas akan relatif dekat dengan 600 kHz.
16.8 Class C and Class D amplifier
20.2 Dioda Schottky Barrier (Hot-Carrier) Diode
1. Pada diode junction, sisi-P mempunyai …
a. 10 hole
b. Sedikit hole
c. Banyak hole
d. Banyak proton
e. Banyak electron
Jawaban : C
2. Pada dioda, bila terminal negatif sumber dihubungkan dengan bahan tipe-n, dan terminal positif dengan bahan tipe-p, hubungan ini disebut dengan…
a. Forward bias
b. Tanpa bias
c. Reserve bias
d. Bias semu
e. Bias nyata
Jawaban : A
3. Dioda yang bekerjanya lebih baik pada daerah breakdown adalah dioda…
a. Zener
b. Foto diode
c. Schottky
d. LED
e. Seven segmen
Jawaban : A



Tidak ada komentar:
Posting Komentar